Шахматные дебюты. Полный курсНиколай Михайлович Калиниченко, Яков Борисович Эстрин -25% +242
💳 Оплатить за товар можно при получении 🇰🇿 Есть бесплатная доставка по Казахстану от 1 дня 🎁 Копите бонусы с каждой покупки В предлагаемой читателю книге дается аналитический обзор старинных дебютов и современных шахматных начал, проиллюстрированных содержательными партиями шахматистов XIX и XX веков. Предпочтение отдано тем дебютным системам, вариантам и ходам, которые выдержали самое серьезное из всех испытаний — испытание временем.Книга будет полезна как новичку, так и кандидату в мастера, а также всем, интересующимся шахматами. |
Детальная информация
Издательство
Бумага
офсетная
Язык
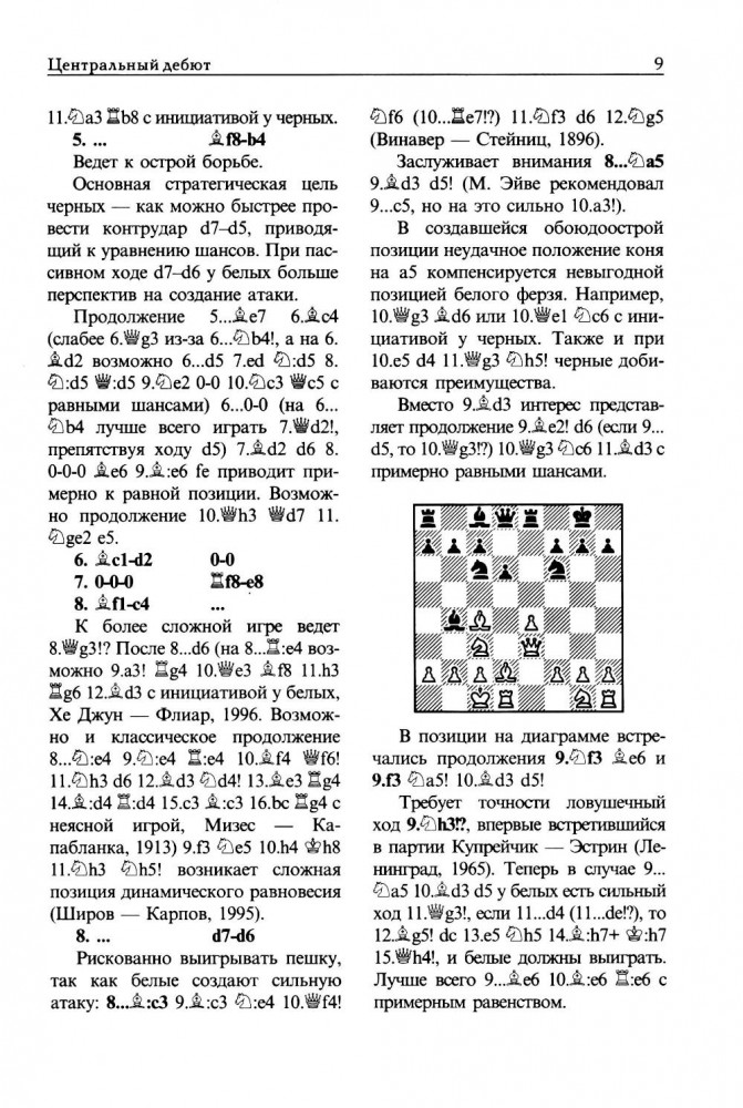
русский
Переплет
твердый переплет
Дата выхода
2025
ISBN
978-5-00235-062-9, 978-5-907234-28-4
Количество страниц
704
Код товара
2005668
Издательство
Издательство Калиниченко, Россия, все товары
Авторы
Авторы
Разделы товара


























































































































































%text%