Рак молочной железы. Учебное пособиеМарина Васильевна Шомова, Ирина Анатольевна Гладилина, Ирина Викторовна Высоцкая +537
💳 Оплатить за товар можно при получении 🇰🇿 Есть бесплатная доставка по Казахстану 🎁 Копите бонусы с каждой покупки Учебное пособие содержит современные сведения об эпидемиологии и факторах риска развития рака молочной железы, принципах классификации, молекулярно-биологических подтипах и морфологических вариантах этой многоликой болезни. |
Детальная информация
Издательство
Предметы
медицина
Язык
русский
Переплет
твердый переплет
Дата выхода
2022
ISBN
978-5-9704-6353-6
Количество страниц
240
Код товара
2352258
Издательство
Гэотар-Медиа, Россия, все товары
Авторы
Авторы
Авторы
Ирина Викторовна Высоцкая, все товары
Доктор медицинских наук, профессор кафедры онкологии Первого МГМУ им. И.М.Сеченова. Автор 190 научных статей, 13 монографий, 10 методических рекомендаций для студентов и врачей. |
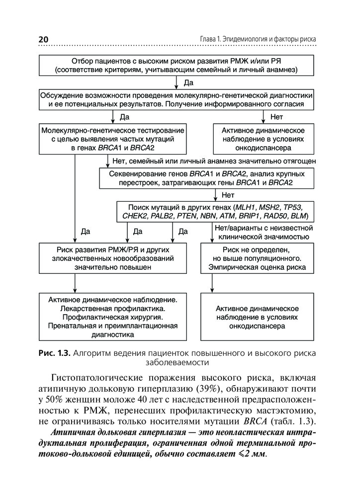
Разделы товара



























































































































































%text%