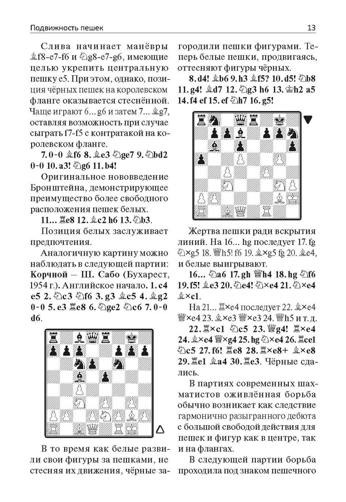
Пешки в движении-25% +14
💳 Оплатить за товар можно при получении 🇰🇿 Есть бесплатная доставка по Казахстану от 1 дня 🎁 Копите бонусы с каждой покупки Пешка — самая слабая единица в шахматной армии. Однако это весьма своеобразная единица, и пешкам отводится большая роль в шахматной борьбе. Умение хорошо играть пешками дает шахматисту великое превосходство над соперниками. Книг, посвященных этой важной теме немного, а предлагаемая работа выделяется среди всех тем, что она написана известным теоретиком и педагогом, заслуженным тренером СССР. По сути своей данная книга — цельное учение о роли пешек в самых разных шахматных ситуациях. Начинается она с полезного исторического обзора, где на конкретных примерах показано, как изменялись в веках представления о роли пешек в шахматах. |
Калиниченко, Россия, все товары














































































































































%text%