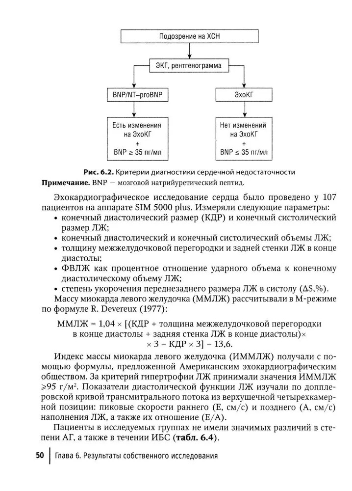
Остеоартрит и сердечно-сосудистые заболевания. Патогенетические взаимосвязи, тактика ведения, прогнозированиеА. Н. Калягин, А. С. Анкудинов +159
💳 Оплатить за товар можно при получении 🇰🇿 Есть бесплатная доставка по Казахстану от 1 дня 🎁 Копите бонусы с каждой покупки Монография посвящена актуальной проблеме — ведению пациентов с сочетанием остеоартрита и сердечно-сосудистых заболеваний. В книге собраны современные данные об особенностях течения данной коморбидной ассоциации, представлены методы ранней диагностики обострения и профилактики сердечно-сосудистых осложнений. Издание дополнено результатами собственных исследований в данном вопросе и будет полезным как для исследователей, работающих в данном направлении, так и для специалистов практического звена. |
Детальная информация
Издательство
Бумага
офсетная
Язык
русский
Переплет
твердый переплет
Дата выхода
2025
ISBN
978-5-9704-9532-2
Количество страниц
88
Код товара
5315448
Издательство
Гэотар-Медиа, Россия, все товары
Авторы
Авторы
Разделы товара























































































































































%text%