Вся высшая математика. Том 2Александр Иванович Киселев, Григорий Иванович Макаренко, Михаил Леонтьевич Краснов В данный момент этот товар отсутствует в продаже. Возможно, у нас найдется аналогичный или похожий товар здесь. Вниманию читателей предлагается учебник по высшей математике, который охватывает практически все разделы математики, но при этом представляет собой не набор разрозненных глав, а единое целое. Отбор материала и способы его изложения строились авторами так, чтобы у читателя постепенно складывалось цельное представление об основных математических идеях и методах, и вместе с тем так, чтобы вложить в руки пользователя простой, но эффективный инструмент, необходимый для разрешения прикладных задач разного уровня и разнообразной природы. |
ЛЕНАНД, Россия, все товары


























































































































































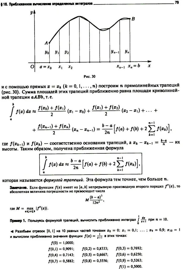
%text%