Борис Спасский. Шахматные лекцииНиколай Михайлович Калиниченко В данный момент этот товар отсутствует в продаже. Возможно, у нас найдется аналогичный или похожий товар здесь. Серия: Шахматы. Классики Борис Спасский — российский шахматист, международный гроссмейстер, десятый чемпион мира по шахматам. В недалёком прошлом — сильнейший шахматист мира, кардинально отличающийся от своих коллег универсальным стилем игры. Он привык выигрывать. Просто и красиво. В книге «Школа шахмат Бориса Спасского» автор, Николай Калиниченко, собрал и систематизировал бесценный материал — лучшие образцы наследия Бориса Васильевича. Большое количество щедро проиллюстрированных примеров позволит относительно легко разобраться в хитрых стратегических схемах, освоить тактику «по Спасскому», научиться его тонкому позиционному пониманию. Книга украсит собой коллекции как начинающих шахматистов, так и профессионалов. |
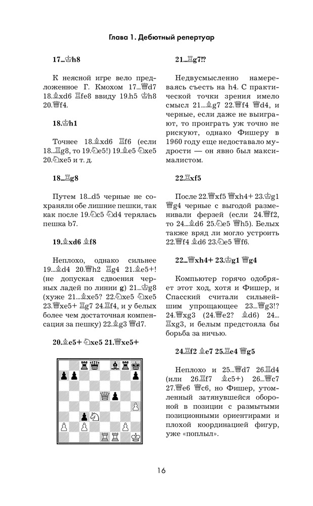
Эксмо, Россия, все товары


























































































































































