ЕГЭ-2024. Информатика. 10 тренировочных вариантов экзаменационных работ для подготовки к единому государственному экзаменуВ данный момент этот товар отсутствует в продаже. Возможно, у нас найдется аналогичный или похожий товар здесь. Серия: ЕГЭ-2024. Это будет на экзамене ю школьников и абитуриентов предлагается пособие для подготовки к ЕГЭ, которое содержит 10 тренировочных вариантов экзаменационных работ. Особенностью данного сборника является вариант с подробным разбором каждого задания. Представленные алгоритмы будут полезны при проверке и оценке своих навыков и умений в решении типовых экзаменационных заданий. |
АСТ, Россия, все товары

























































































































































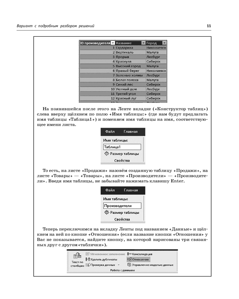
%text%