Машинное обучение на R. Экспертные техники для прогностического анализа-25%
Серия: Библиотека программиста Язык R предлагает мощный набор методов машинного обучения, позволяющих быстро проводить нетривиальный анализ ваших данных. Книга является руководством, которое поможет применять методы машинного обучения в решении ежедневных задач. Бретт Ланц научит всему необходимому для анализа данных, формирования прогнозов и визуализации данных. Здесь вы найдете информацию о новых улучшенных библиотеках, советы об этических аспектах машинного обучения и проблемах предвзятости, а также познакомитесь с глубоким обучением. |

Прогресс книга, Россия, все товары
| Одним из ключевых преимуществ издательства «Прогресс книга» является разнообразие литературных жанров и тематик. Вне зависимости от возраста, интересов или профессиональной сферы, каждый читатель найдет здесь что-то для себя. Качество — это основная ценность издательства. Каждая книга проходит тщательный редакторский контроль и проверку на соответствие стандартам. Издательство «Прогресс книга» также гордится своими авторами. Компания сотрудничает с талантливыми писателями и экспертами,... |
Питер, Россия, все товары






























































































































































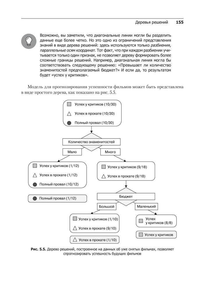
%text%